报告题目:Uniqueness of the non-trivial solutions of some degenerate Monge-Ampere equation
报 告 人:黄耿耿 教授
所在单位:复旦大学
报告时间:2022年7月5日 星期二 上午10:00-11:00
报告地点:腾讯会议 217-876-521
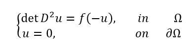
报告摘要: In this talk, we talk about the uniqueness of the non-trivial solutions of some degenerate Monge-Amp\`ere equations.

Under suitable conditions on f(t), we can show u is symmetric as Ω is symmetric. Then we can show the non-trivial solution u is unique by showing the non-degeneracy of the linearized equation for some special f(t). This is a joint work with Cheng Tingzhi.
报告人简介: 黄耿耿,复旦大学数学科学公司教授,博士生导师。主要从事偏微分方程的理论研究,在Comm. Pure Appl. Math.,Comm. Partial Differential Equations,SIAM J. Numer. Anal.,Calc. Var. Partial Differential Equations, J. Differential Equations等国际著名数学期刊上发表论文20余篇。